联系电话:
13581588593
Xstress DR45 残余应力检测系统提供了一种快速、可靠的表面残余应力检测方法,使其成为在应用更复杂、更耗时的技术(如PFIB-DIC)之前进行初步评估的宝贵工具。
作者:Zhu Bin博士和Sui Tan博士
Surrey大学,在Sui博士带领下,率先为核聚变材料的结构完整性研究进行了残余应力评估,特别是容器内熔融部件的金属接头。通过与英国原子能管理局(UKAEA)和国家物理实验室(NPL)合作,Surrey大学已经研发了创新型实验和建模方法,以了解连接引起的残余应力如何降低机械性能并导致过早失效。
Zhu博士在建立多个熔接接头残余应力评估的新实验能力方面做出了关键性贡献,他在STFC的ISIS中子和μ子源使用中子衍射和成像,以及Surrey大学的等离子体聚焦离子束-数字图像相关(PFIB-DIC)。
为了评估激光焊接接头中的残余应力,使用 Xstress DR45系统对P91和Eurofer97 接头进行残余应力线性映射,并在精确位置进行测量,如图1所示。使用间距为 0.1mm的0.3mm 准直器进行线扫描测量(绿色圆圈),并选择156.4°的2θ 角来测量{211}峰值。使用粉末样品仔细进行校准,并根据参考样品验证设备的性能。此外,使用等离子体聚焦离子束数字图像关联(PFIB-DIC[1] 和中子衍射技术 [2,3] 分析相同的样品。这些互补方法的详细方法可以在先前发表的研究中找到。

图 1:使用 Xstress DR45 评估残余应力分布的实验装置。
使用非常小的准直器的测量时间为每点2分钟。带有XY工作台的 Xstress DR45能够对残余应力分布进行高空间分辨率评估。Xstress DR45实现了残余应力分布的评估,在FZ/HAZ界面附近观察到峰值处的拉应力约为350MPa。使DR45获得的残余应力分布趋势与PFIB-DIC的残余应力分布趋势密切相关。虽然 PFIB-DIC 技术为每个测量点提供了约0.03mm的最高分辨率,但 Xstress DR45在分辨率和效率之间表现出了出色的平衡。尽管 DR45与PFIB-DIC的超高分辨率不匹配,但它成功地捕捉了这些狭窄区域内的整体残余应力分布趋势,展示了其在高度局部区域中测量应力的能力。

图 2 Eurofer97的DR45-XRD 残余应力测量结果,与PFIB-DIC [1] 和中子衍射 [2] 在0度方向上的相关性。
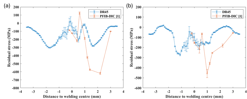
与中子衍射相比,Xstress DR45 在FZ 和HAZ 区域内提供了更详细的残余应力分布。由于中子衍射的空间分辨率较低,约为1.4 mm [2],因此中子衍射的限制通常会导致激光焊接接头不同区域内的应力值被平均化。相比之下,DR45实现了明显更高的分辨率,可以识别原本会错过的局部残余应力变化。此外,使用 Xstress DR45 测量的全宽半最大值(FWHM)分布趋势通过纳米压痕实验进行了交叉验证,证实了它与显微硬度的比例关系。对于P91接头,发现DR45 结果在两个扫描方向上与PFIB-DIC 测量值一致 [4],增强了其捕获不同焊接配置中应力变化的可靠性。

图 3:P91的DR45-XRD残余应力结果,与PFIB-DIC[1] 和中子衍射[2]相关,在(a)0度方向和(b)90度方向上。
Xstress DR45 XRD系统提供了一种快速可靠的表面残余应力检测方法,使其成为在应用更复杂、更耗时的技术(如 PFIB-DIC)之前进行初步评估的宝贵工具。对于不需要如此高精度的情况,Xstress DR45是一种实用且高效的替代方案,特别是对于分析狭窄的激光焊接接头。它能够在短时间内捕获高分辨率残余应力分布,使其成为评估和优化聚变反应堆组件的引人注目的选择。
[1] B. Zhu, Y. Wang, J. Dluhoš, A.J. London, M. Gorley, M.J. Whiting, T. Sui, Sci Adv 8 (2022).
[2] B. Zhu, N. Leung, W. Kockelmann, S. Kabra, A.J. London, M. Gorley, M.J. Whiting, Y. Wang, T. Sui, J Mater Sci Technol 114 (2022) 249–260.
[3] B. Zhu, N. Leung, Y. Wang, H. Zhang, J. Dluhoš, T. Pirling, M. Gorley, M.J. Whiting, T. Sui, Materials Science and Engineering: A 877 (2023) 145147.
[4] B. Zhu, O. Mohamed, A. Koko, H. Zhang, J. Dluhoš, Y. Wang, M. Gorley, M.J. Whiting, T. Sui, Journal of Materials Research and Technology 35 (2025) 6341–6347.
地址:北京市门头沟区上园路甲10号院 洪源智能工坊807室 座机:010-88820040-8002 邮箱:[email protected]